Саморегулирующийся кабель повышенной мощности (80 вт/м) для обогрева пандусов, площадок и лестниц.
Нагревательные кабели EPL - это продукт высокого качества для строительного и промышленного применения. Кабели относятся к классу низкотемпературных, используются в системах антиобледенения открытых площадей в холодное время года для обогрева ступеней, пандусов, локальных парковок, поддержания текучести вязких транспортируемых продуктов в трубопроводах, а также поддержания температуры в резервуарах с высокими потерями тепла не подвергаемых чистке паром.
Конструкция кабеля

Преимущества:
- Саморегулирующийся
- Простое проектирование систем обогрева
- Отрезной - греющие секции всегда нужной длины
- Метрическая маркировка на оболочке кабеля
- Допускается пересечение с самим собой
- Безусловная температурная классификация T5
- Высокая мощность
- Влагостойкий
- Устойчивый к UV излучению
- Может использоваться во взрывоопасных зонах
Применение:
- Обогрев приямков, пандусов,тротуаров, погрузочно-разгрузочных зон, вертолетных площадок.
- Системы антиобледенения открытых площадей
! Не рекомендуется применять в cистемах антиобледенения кровель
Технические данные:
| Напряжение питающей сети | 220...240 VAC |
| Максимальная температура воздействия под напряжением | +110°С |
| Максимальная температура воздействия без питания (мах.1000 часов) | +130°С |
| Минимальная температура монтажа | -40°С |
| Сечение токоведущих жил | 2,05 мм² |
| Удельная мощность в бетоне при 0°С | 80 Вт/м |
| Маркировка взрывозащиты по газу | Ex 60079-30-1 IIC T6...T5 Gb X |
| Маркировка взрывозащиты по пыли | Ex 60079-30-1 IIIC T80°C...T130°С Db X |
| Электрическое сопротивление изоляции | не менее 50 МОм |
| Максимальное сопротивление экранирующей/заземляющей оплетки не более | 18 Ом/км |
Оболочка:
EPL-2CR - Конструкция с усиленной оболочкой из термопластичного эластомера поверх оплетки из луженых медных проволок обеспечивает дополнительную механическую защиту.
Длины нагревательных цепей даны c учетом следующих положений:
Номинальное напряжение 230 В. Выключатели замедленного действия (характеристика C) с максимальной нагрузкой 85%. Максимальное падение напряжения 10 % на линии питающего провода нагревательного кабеля. Одностороннее подключение нагревательного кабеля. Пусковой ток изменяется в соответствии с температурой пуска.
При холодном пуске греющего кабеля происходит скачок тока , который в 6-8 раз превышает номинальное значение АВ - это нормально и длится несколько миллисекунд. Далее ток в течении 2-4 минут с величины 3-4 номинала АВ придет к расчетной в соответствии с температурой поддержания.
| Тип |
Температура включения, °C |
Максимальная длина нагревательной секции (м), подключаемой к автоматическому выключателю | ||||
| 16А | 20А | 25А | 32А | 40А | ||
| EPL | 10 | 40 | 50 | 63 | 80 | 85 |
| 0 | 34 | 42 | 53 | 68 | 85 | |
| -10 | 29 | 36 | 46 | 58 | 73 | |
| -20 | 25 | 32 | 40 | 50 | 63 | |
| -40 | 21 | 26 | 32 | 41 | 55 | |
| Тип кабеля | EPL-2CR |
| При -15°C | 50м |
| Пусковой ток | 0,65А/м |
Шаг укладки
| Тип кабеля | EPL-2CR | ||
| Удельная мощность |
320Вт/м² |
400Вт/м² | 800Вт/м² |
| Шаг укладки | 25см | 20см | 10см |
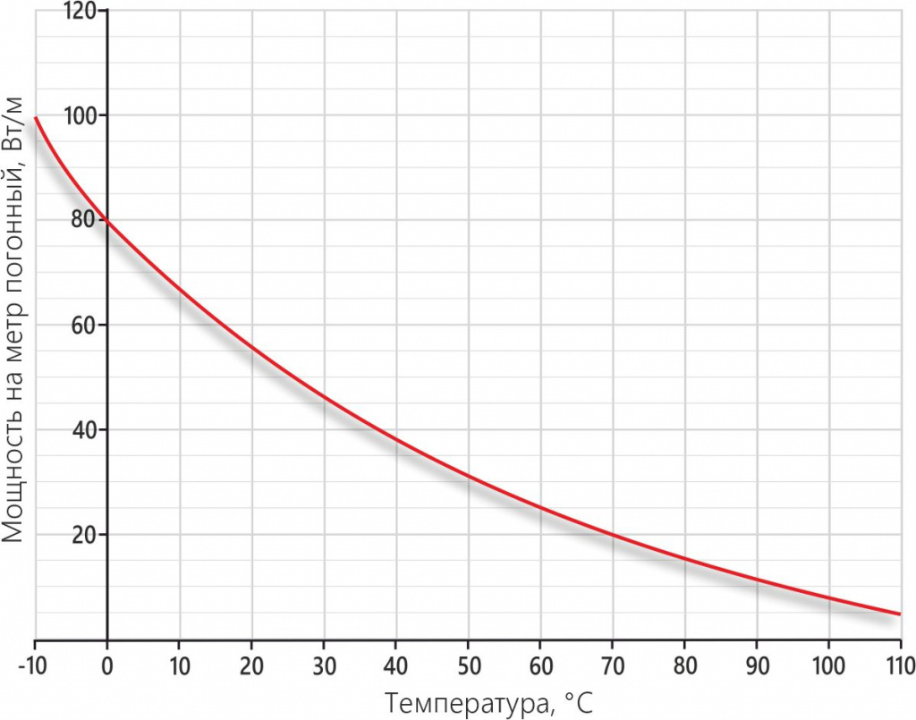
Выходная мощность EPL-2CR
(на металлических трубах с изоляцией в соответствии с СП 61.13330.2012)
Масса и габариты
| Размеры | Мин.радиус изгиба | Вес (кг/100м) |
| 15,8х7 мм | 50 мм | 18 |

Важно! При проектировании систем антиобледенения следует учитывать, что расчетная удельная мощность кабеля в плотной холодной среде значительно выше и может варьироваться в пределах от 1,4-х до 1,6-х значений от паспортной.
